Технологии связи LTE. OFDM — сигналы. Снижение пик-фактора (PAPR) OFDM — сигналов. Часть 2.

Рубрика:
4-6 минут

PAPR – Peak-to-average power ratio.

Большое значение пик-фактора в OFDM-сигналах (отношение пиковой мощности к его средней мощности), является проблемой так как требует производства выходного усилителя мощности с достаточной большим динамическим диапазоном усиления, что приводит к снижению КПД передатчика. В свою очередь снижение КПД в конечном итоге ведет к уменьшению числа абонентов, использующих спутниковую связь.  Также большой PAPR потребует большей разрядности ЦАП и АЦП.

Существуют различные методы уменьшения пик-фактора OFDM сигнала. Методы, основанные на блочном кодировании (коды, построенные на основе последовательностей Голея, кодов Рида-Мюллера, методы добавления поднесущих), методы, основанные на амплитудном ограничении сигналов (клиппирование, компандирование, фильтрация). Многие из рассмотренных методов потребуют реализации сложных итерационных алгоритмов и осуществления когерентного приема, что значительно усложнит работы [2].

Для выбора оптимального метода путем моделирования использовался пакет прикладных программ Matlab.

Для получения разных значений OFDM сигналов на каждой итерации (моделирование максимально приближено к реальности ситуации, когда необходимо генерировать абсолютно разные данные абонентам) использовали randomize.   Для того, чтобы наиболее точно промоделировать систему использовали следующую логику. Так как на каждую из несущих может приходиться разное количество абонентов, то соответственно разным несущим требуется разное количество информации. Соответственно, генерируя спектр сигнала следует генерировать шум, который описывает разный уровень информации в поднесущих. Моделируемый спектр сигнала представлен на рисунке 1.

Пример моделируемого спектра с 480 поднесущими и блоком обработки БПФ на 1024 точки

Сгенерировав по количеству используемых поднесущих (всего их 480) спектр сигнала, перейдем во временную область, используя ОБПФ.

Затем, уже во временной области для нахождения PAPR воспользуемся формулой 1:

Формула 1

,где  

3

— квадрат максимальной амплитуды,  

4

— квадрат среднего значения амплитуды сигнала.

Распределение PAPR исходного сигнала для выборки в 105 значений представлено на рисунке 2.

Гистограмма распределения пик-фактора исходного сигнала

Среднее значение пик-фактора составляет 8.63 дБ.

Используемые методы снижения PAPR

Ограничение ( clipping ) сигнала по уровню

Данный метод плох тем, что при ограничении сигнала возможно внутриполосное и внеполосное излучение (шум) [3].  Под шумом понимается обрезанный по порогу сигнал. В дальнейшем рассмотрении мы будем называть его «шум ошибки» или «шум клиппирования».

Уровень шума ошибки вычисляется по формуле:

 где  

7

– ограниченный по порогу сигнал,  

8

— исходный сигнал. Оператор * — комплексное сопряжение, mean – среднее значение.

На рисунке 3 представлен исходный OFDM – сигнал с 480 поднесущими.

Исходный (8) OFDM-сигнал во временной области

На рисунке 4 представлен сигнал, клиппированный по порогу.

Обрезанный ( 7)сигнал («шум ошибка»)

На рисунке 5 изображен сигнал после ограничения исходного сигнала по порогу.

Ограниченный  сигнал

Также, кроме обычного порогового клиппирования сигнала проверен метод клиппирования с  применением оконной функции. Выбрав оконную функцию Чебышева, которая давит довольно сильно внеполосные излучения сигнала, и помимо пика, срезает некоторые значения до и после. Диапазон вырезаемых значений до и после зависит от ширины оконной функции.

Зависимости шума ошибки от пик-фактора для двух этих методов представлены на рисунке 6. Выборка для построения этих зависимостей составляет 100 значений к каждому из 15 пороговых коэффициентов.   Пороговый коэффициент – значение, которое характеризует уровень ограничения максимального сигнала. Пределы его изменения – [0.43:6.35] дБ.

График зависимостей шума от пик-фактора для метода обычного клиппирования и клиппирования оконной функцией Чебышева

На рисунке 7 представлены спектры сигналов после обычного клиппирования и клиппирования оконной функцией.

Спектры двух клиппированных сигналов

Из рисунков видно, что внеполосные излучения при использовании ОФЧ (оконной функции Чебышева) ниже, но при одном и том же значении пик-фактора мы получаем большее значение шума, т. к. мы вырезаем не одно значение, а несколько (в нашем случае — 13). АЧХ ОФЧ на 13 точек представлена на рисунке 8. На графике приводится также АЧХ белого шума, подающийся на вход фильтра.

Амплитудно-частотная характеристика оконной функции Чебышева

При использовании клиппирования возникает шум, который, при различном его уровне относительно сигнала может влиять на диаграмму направленности.

Для того, чтобы понять до какого уровня можно снизить пик-фактор OFDM – сигнала и не исказить форму ДН цифрового нужно провести моделирование системы.

В данной статье мы не будем рассматривать данную проблему, так как объем материала потребует отдельной статьи. Если реально интересна проблема — пишите мне на электронную почту или в комментариях к статье.

SLM, PTS- методы

Методы заключаются в том, чтобы подобрать оптимальную фазу, на которую умножается исходный сигнал для уменьшения пик-фактора. Затем, значение этой фазы передается по каналу связи. Соответственно, данный метод значительно уменьшает информационный канал связи по частоте.

Различие SLM от PTS метода заключается в том, что в SLM методе подбирается фаза с наименьшим возможным PAPR для всего сигнала. В PTS методе подбирается фаза для куска сигнала. При PTS методе весь сигнал во временной зоне разбивается на определенные куски (4, 8, 16, 32, …) и уже к ним подбирается оптимальная фаза.

При моделировании снижения PAPR’а методом SLM наблюдается уменьшение пик-фактора на 1.42 дБ.

При моделировании методом PTS —  для 8 блоков снижение пик –фактора – 1.33 дБ. При этом среднее значение составило 7.44 дБ. В таблице 3 приведены значения изменения исследуемого параметра при различных количествах блоков разбиения.

Кол-во блоков, шт481632
∆PAPR1.291.331.401.38

Где  ∆PAPR – разница между первоначальным и измененным пик-фактором.

Проблемой использования SLM и PTS методов является существенное ограничение информационного канала связи, так как требуется отдельный канал связи, который сообщал АТ об изменении фазы сигнала. При неправильном приеме сообщения об изменении фазы данные теряются.

Методы добавления гармоник (поднесущих)

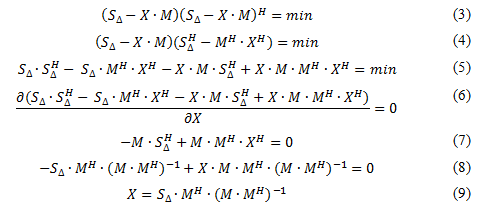
Вычисляя и используя оптимальные параметры гармоники (амплитуда и фаза) вне используемого диапазона возможно снизить пик-фактор сигнала. Необходимо провести расчет амплитуды и фазы гармоники таким образом, чтобы максимально подавить максимальные выбросы амплитуд сигналов. Используя несколько поднесущих, порядка 10 единиц, необходимо решить матричные уравнения вида, представленные формулами 3-9:

где  SΔ- массив пиков, обрезанных по порогу. При отстутствии пиков значения массива равны нулю,

X — искомый массив значений амплитуды и фазы,

M – матрица опорных гармоник вне используемого диапазона частот.

Например,

На рисунке 14 визуально представлены значения массива SΔ, используемые в формулах 3 – 9. На рисунке приведены значения пиков при выборе порога, обеспечивающем пик-фактор равным 6 дБ:

Массив обрезанных по порогу пиков (SΔ)

На рисунке 15 приведены графики действительной и мнимой части первой строки матрицы опорных сигналов.

Первая строка матрицы опорных сигналов ( М(1,:) )

Вывод

Для нахождения искомого массива значений амплитуд и фазы при помощи формулы 2 придем к уравнению, представленной в формуле 3:

Методика выполнения расчета:

  1. Обрезка сигнала по выбранному порогу Scutt,
  2. Выбор количества гармоник Ngarm,
  3. Решение уравнения (формула 9) по поиску амплитуды и фазы гармоник,
  4. Вычитание полученных опорных сигналов из исходного сигнала Sopor.end,
  5. Расчет PAPRnew

Для того, чтобы максимально снизить пик-фактор необходимо найти оптимальные значения порога среза (пункт 3) и количества гармоник (пункт 1).

Комментарии

Добавить комментарий

Ваш адрес email не будет опубликован. Обязательные поля помечены *